电话:158-3610-1808
关闭
您当前的位置:首页 > 职场资讯 > 无损检测论文

蒸汽发生器传热管支撑板结垢堵塞的涡流检测技术分析

来源:无损检测证书挂靠网 时间:2025-11-12 作者:无损检测证书挂靠网 浏览量:

蒸汽发生器运行期间,二回路系统水介质中的固态腐蚀产物和杂质受到二次侧流场的影响,经过蒸发、浓缩、汇聚后,主要沉积在传热管表面、管板二次侧表面及支撑结构位置[1]。其中支撑板梅花孔的结垢除影响传热管温度外,还对二次侧流体有扰动作用,严重时可能会造成换热效率降低[2]。在役检查期间,对二次侧泥渣沉积情况通常采用视频检查方法进行检测,但检查范围有限。目前国际上已经开展了多项针对蒸汽发生器传热管二次侧泥渣堆积、表面结垢以及支撑板堵塞的涡流检测方法研究,因此文章针对支撑板堵塞问题的涡流检测方法开展了相关研究。

首先,对实际支撑板的结垢特点和实际检测现状进行分析,找出涡流信号识别方法并设计不同结垢厚度的模拟试件;然后,开展了支撑板结垢模拟试验、仿真分析及结果比对,得出结垢信号幅值与结垢厚度及支撑板堵塞面积比的当量关系,找出一种可行的支撑板结垢厚度、堵塞面积比的涡流检测及应用方法;最后,利用仿真建模的方式对幅值与结垢关系进行分析,辅助验证试验结果的准确性。

1. 支撑缝隙板结垢特点分析

设备长期运行后,会在支撑板结构与传热管缝隙中形成结垢,并逐渐堵塞管孔,典型的支撑板结构及缝隙结垢如图1所示。其中传热管管壁外侧与支撑板孔内侧会有不同程度的结垢现象,受流体运动及二次侧流场环境影响,结垢主要集中在支撑板下边沿位置,并且形成的空隙会逐渐减小,甚至出现完全堵塞的情况。

图1支撑板结构示意及缝隙结垢实物

图 1支撑板结构示意及缝隙结垢实物

2. 结垢厚度与堵塞面积比的关系

2.1 模拟试块设计

为模拟结垢在传热管与支撑板之间缝隙孔内均匀分布并逐渐增厚的现象,设计了缝隙宽度从0.1 mm至2.0 mm均匀增加的非导电材料试块,将上述试块插入支撑板内,在试块与支撑板缝隙中填入与结垢相同成分的Fe3O4粉末并将试块固定,模拟试块结构及尺寸示意如图2所示,试块置于图中D位置,试块整体结构支撑板孔内空间结构相同,在一端进行等厚度的切削,在支撑板孔内形成均匀缝隙宽度变化。

图2模拟试块结构及尺寸示意
图 2模拟试块结构及尺寸示意

2.2 试验过程及方法

分别使用轴绕式内穿探头、旋转探头、阵列探头对支撑板梅花孔内壁均匀结垢试块进行检测,检测频率分别为30,100,300,400 kHz。对采集的3种探头信号进行分析,确定模拟试块上结垢的幅值测量方法。通过建立幅值与结垢厚度的对应关系曲线,从而估算出结垢造成的堵塞面积比,使用阵列探头对相同试块进行测试,确认其检测效果及可行性。

2.3 数据分析与结果统计

2.3.1 数据分析

受涡流集肤效应的影响,涡流高频对传热管外壁结垢不敏感,故文章试验以各探头的低频涡流信号为依据进行分析。

(1)轴绕式内穿探头

对轴绕式内穿探头的试验数据进行分析,观察30 kHz低频差分与绝对通道信号。发现受支撑板及孔内部泥渣的影响,探头信号不能直观反映泥渣的堵塞情况。使用400 kHz与100 kHz的差分通道对支撑板进行混频抑制,当泥渣厚度较小时,混频通道无明显信号;当结垢厚度不小于0.2 mm时,试验支撑板端部存在泥渣信号,但无法对具体结垢开展分析。

(2)旋转探头

对旋转探头的试验数据进行分析,不同线圈的典型结垢信号如图3所示。对旋转探头的扁平线圈、正交线圈的100 kHz及30 kHz通道进行分析,并调整结垢信号相位垂直向上,发现结垢信号明显位于支撑板下边沿位置。结果表明旋转探头扁平线圈及正交线圈可以有效检测支撑板缝隙内的结垢情况。

图3扁平线圈及正交线圈得到的典型结垢信号
图 3扁平线圈及正交线圈得到的典型结垢信号

(3)阵列探头

对上述试块进行阵列探头检测并分析,30 kHz通道的轴向及周向C扫信号如图4所示,可知调整胀管涡流信号水平后,轴向及周向C扫图中出现了清晰结垢信号,说明阵列探头可以有效检测支撑板缝隙中的结垢,并且周向通道对结垢信号更敏感。

图430 kHz阵列探头对试块的C扫信号
图 430 kHz阵列探头对试块的C扫信号

2.3.2 测量结果与结垢对应关系曲线

涡流信号的幅值大小与泥渣体积结垢厚度有关,且涡流信号幅值随泥渣结垢厚度的增加单调递增[3],因此可以建立测量结果与结垢的对应关系。

(1)旋转探头结垢厚度的测量

设置标定管中轴向通槽信号幅值为20 V,将扁平线圈通道结垢信号的相位调至垂直。分别在100 kHz及30 kHz通道进行测量,记录每种结垢厚度试验情况下的涡流信号幅值,测量结果如表1所示。

Table 1.旋转探头结垢的幅值-结垢厚度测量结果
检测频率/kHz结垢厚度/mm
0.10.20.30.40.50.751.01.52.0
1001.442.543.774.925.816.497.378.058.00
306.169.5214.1317.2120.5523.6325.6831.8531.59

(2)旋转探头幅值-结垢厚度当量关系

根据涡流检测原理,涡流信号幅值与结垢体积呈正相关。因试件模拟均匀壁厚结垢情况下,试验测得的幅值变化只与结垢厚度相关,故根据测得的旋转探头幅值及结垢厚度,建立多项式拟合曲线,30,100 kHz频率下的幅值-结垢厚度曲线如图5所示,对比图中相关系数R2值发现,30 kHz下的幅值-厚度曲线可靠度更高(R2=0.970)。

图530,100 kHz频率下的幅值-结垢厚度曲线
图 530,100 kHz频率下的幅值-结垢厚度曲线

(3)旋转探头幅值-堵塞面积比关系

支撑板与传热管形成的单个缝隙孔截面积约为51 mm2,当花孔内壁产生结垢时,近似认为内壁结垢厚度均匀增加。试验中模拟的一组结垢厚度及对应的结垢截面积与堵塞面积比的测量结果如表2所示。

Table 2.旋转探头的结垢厚度与堵塞面积比测量结果
项目结垢厚度/mm
0.10.20.30.40.50.751.01.52.0
结垢面积/mm23.26.49.512.515.422.228.439.347.9
堵塞面积比/%6.312.618.624.430.043.355.476.593.4

分别对100 kHz及30 kHz试验频率下的结垢测量幅值与堵塞面积比建立多项式拟合曲线,得出的幅值-堵塞面积曲线如图6所示,由图可知,30 kHz下的幅值-堵塞面积比曲线可靠度更高(R2=0.980)。

图630,100 kHz频率下的幅值-堵塞面积曲线
图 630,100 kHz频率下的幅值-堵塞面积曲线

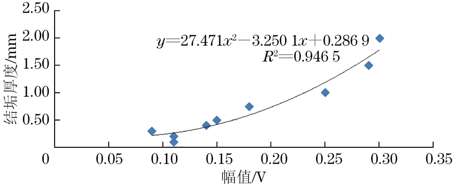
(4)阵列探头幅值当量测量

对阵列探头采集的试验数据进行分析,设置标定管上环槽信号幅值为5 V,调整胀管相位为0°水平,四叶形支撑结构单孔面积为51 mm2,在30 kHz频率下的周向通道对结垢幅值进行测量,测量结果如表3所示。根据测量结果绘制阵列探头结垢厚度检测的参数数值关系,其幅值-结垢厚度曲线如图7所示,幅值-堵塞面积比曲线如图8所示。

Table 3.阵列探头30 kHz频率下的幅值-结垢厚度测量结果
项目结垢厚度/mm
0.10.20.30.40.50.751.01.52.0
幅值/V0.110.110.090.140.150.180.250.290.30
结垢面积/mm23.26.49.512.515.422.228.439.347.9
堵塞面积比/%6.312.618.624.430.043.355.476.593.4

图7阵列探头30 kHz频率下的幅值-结垢厚度曲线
图 7阵列探头30 kHz频率下的幅值-结垢厚度曲线

图8阵列探头30 kHz频率下的幅值-堵塞面积比曲线
图 8阵列探头30 kHz频率下的幅值-堵塞面积比曲线

2.4 仿真分析和验证

利用有限元仿真软件建立三维模型,仿真模型结构示意如图9所示。

图9仿真模型结构示意
图 9仿真模型结构示意

涡流磁场对结垢信号在30 kHz频率下较为敏感,故在该频率下进行物理场仿真计算,提取不同厚度结垢下的电压幅值,结果如图10所示。0.5 mm厚度内有限元模拟幅值-厚度曲线如图11所示。由图1011可知,仿真结果与实际模拟试验得到的幅值与结垢厚度的趋势效果基本一致;幅值与结垢厚度呈单调递增关系,并且结垢厚度在0.5 mm以下具有较好的线性关系,R2值接近1。比较仿真结果与模拟试验结果发现,试验给出的结果和对应关系可以很好地指导实际检测工作。

图10仿真模拟得到的幅值-结垢厚度曲线
图 10仿真模拟得到的幅值-结垢厚度曲线

图110.5 mm结垢厚度内有限元模拟幅值-结垢厚度曲线
图 110.5 mm结垢厚度内有限元模拟幅值-结垢厚度曲线

3. 方法应用与优化

以蒸汽发生器传热管旋转探头实际测量数据为对象进行分析,测量结果如表4所示[表中结果为实际传热管中第7,8,9(分别为TSP7,TSP8,TSP9)支撑板处单个支撑板缝隙孔测量的最大结垢幅值及堵塞情况。其中最大结垢厚度约为0.4 mm,堵塞面积比接近24%]。对其中10根传热管30 kHz通道的结垢旋转探头数据进行分析发现,幅值均小于20 V,通过前述试验结果确认结垢厚度均小于0.5 mm,因此可对幅值-结垢厚度的多项式拟合曲线进行优化,其30 kHz频率下的幅值-结垢厚度及幅值-堵塞率的线性拟合曲线如图1213所示,幅值-结垢厚度曲线和幅值-堵塞面积比曲线的R2分别为0.995和0.996,结果可靠性更高。

Table 4.结垢厚度及堵塞面积比测量结果
序号管号TSP7TSP8TSP9
COLROW厚度/mm堵塞面积比/%厚度/mm堵塞面积比/%厚度/mm堵塞面积比/%
1330.150.100.250.160.190.12
23100.240.150.260.160.200.13
33200.330.200.270.170.240.15
41130.170.110.300.180.270.17
511100.260.160.190.120.300.18
611200.180.110.210.130.230.14
719100.200.130.280.170.360.22
819200.270.170.290.180.280.17
927100.180.110.190.120.400.24
1027200.240.150.230.140.360.22

图120.5 mm结垢厚度内30 kHz频率下的幅值-结垢厚度曲线
图 120.5 mm结垢厚度内30 kHz频率下的幅值-结垢厚度曲线

图130.5 mm结垢厚度内30 kHz频率下的幅值-堵塞面积比曲线
图 130.5 mm结垢厚度内30 kHz频率下的幅值-堵塞面积比曲线

4. 无损检测证书挂证网结论

当使用旋转探头及阵列探头测量支撑板孔结垢堵塞时,支撑板位置的结垢厚度、支撑板堵塞面积比与涡流信号的电压幅值之间可以建立比较好的对应关系。文章提出的典型支撑板梅花孔结垢及堵塞面积比的检测方法可以有效弥补视频检测的局限性,并能给出支撑板结垢厚度与堵塞情况的测量结果,对蒸汽发生器二次侧结垢分布状态和堵塞面积比进行预估。该方法可以为蒸汽发生器传热管维护及化学清洗提供依据。

推荐阅读:

2025年11月无损检测挂证价格预测和流程

微信扫一扫分享资讯

Copyright C 2009-2014 All Rights Reserved 河南旻宸企业管理咨询有限公司 版权所有 豫ICP备2024047879号-1

地址:河南省新乡市高新技术开发区20号街坊开祥天下城11号楼 EMAIL:154740484@qq.com

关注

用微信扫一扫

反馈
顶部