电话:158-3610-1808
关闭
您当前的位置:首页 > 职场资讯 > 无损检测论文

黏结滑移试验中的声发射评价方法

来源:无损检测证书挂靠网 时间:2025-03-04 作者:无损检测证书挂靠网 浏览量:

作者简介:

汪家送(1980-),男,硕士,高级工程师,一级注册结构工程师,主要从事结构性能分析与声学研究

黏结滑移试验是反映钢筋与混凝土界面处局部黏结应力与滑移关系的重要途径,也是进一步实现钢筋混凝土结构有限元分析的试验基础。在受力状态下,钢筋与混凝土的黏结部位出现微裂纹直至宏观破坏时,往往伴随着声发射现象的出现。声发射本质上是一种弹性波,它是以瞬态弹性波的形式迅速释放其内部积累的应变能的过程。声发射技术可以检测材料内部微裂纹,近年来大量用于混凝土材料裂纹成核及其损伤研究。利用声发射技术对钢筋与混凝土的黏结破坏特征信号进行分析,可以得到大量关于试件的破坏过程与条件的重要信息。因此该技术不仅能对裂纹形成位置进行准确定位,而且在一定的假设下能对矩张量进行反演,从而能进一步揭示破坏模式、能量释放率、应力场分布及破裂面位置[1]。

目前采集和处理声发射信号的方法可分为两大类。一类是以多个简化的波形特征参数来表示声发射信号的特征,然后对其进行分析和处理;另一类方法是存储和记录声发射信号的波形,对波形进行频谱分析[2]。文章分别利用这两种分析方法对螺旋肋钢丝与混凝土的黏结滑移过程的声发射信号进行分析,初步建立两种材料黏结界面的力学过程与声发射特性的相关关系,以及对构件损伤过程的声发射源进行定位,最后分析总结黏结破坏的声发射评价方法。进一步验证了该方法可作为构件宏观破坏过程的声发射评价方法。

1. 试验设计

1.1 声发射检测系统

声发射检测系统主要由传感器、前置放大器、多通道声发射采集处理系统及计算机组成。

(1)传感器。选用声华科技公司研制的SR15高频谐振式传感器,其频率为50~400 kHz,谐振频率为150 kHz,灵敏度峰值不小于65 dB。

(2)前置放大器。检测系统采用声华科技公司研制的PAV宽带前置放大器,增益为40 dB,带宽为10 kHz~2 MHz,具有自标定和低噪声等特点。

(3)数据采集卡。采用SWAVES全波形声发射数据采集卡,其最高采样速率为20 MHz,有12个通道。

1.2 试件制作

制作边长为100 mm的C40混凝土立方体试件,在立方体中心位置预埋一根ϕ5 mm的螺旋肋钢丝,受力端长度为355 mm,自由端长度为80 mm,局部黏结区为50 mm。在钢丝表面黏结区两端附近分别对称粘贴2组BE120型电阻应变片。试验前,先将试件固定在预先制作好的拔出试验装置内,然后与装置一起固定在电子万能试验机上,将试验机下夹头夹住钢丝受力端,上夹头夹住装置拉杆以带动混凝土立方体受力。待固定好后,在混凝土立方体3个自由侧面分别布置5个声发射传感器,各传感器坐标分别为(10,0,10),(90,0,90),(90,100,90),(90,10,100),(10,90,100),其与计算机等设备连接组成的声发射检测系统如图1所示。

图 1试件与声发射检测系统

试验时试件沿钢筋方向拔出,试验机加载速率为2 mm·min-1,荷载与位移量由加载系统控制,最终结果通过数字与图像表示出来;同时静态电阻应变仪记录钢筋表面应变量;加载过程的声发射数据由声发射检测系统实时记录。

2. 声发射源定位

2.1 定位方法

传统的时差定位方法操作简便,通过计算信号的到达时差,再运用时差定位公式即可对声源进行定位。但是由于影响信号波形特征的因素较多,波的衰减及波形的畸变等现象无法避免,因此该定位方法存在一定误差。而基于小波包分析互相关的定位方法能有效地减小定位误差,其基本的定位思想为:① 利用正交小波对声发射源特征信号进行小波包分解后,结合频谱分析结果所测得的衰减曲线对信号进行补偿衰减处理,然后实行小波包重构;② 利用互相关定位技术对各个通道的重构信号进行相关分析,得出时间差,然后用三维时差定位方法确定声发射源的位置[3]。

2.2 定位过程

直接提取特征信号进行小波包分解与重构。原始信号S的长度为211,故分解层数N可取为6(N<11),通道2信号与其经分解重构后的信号如图2所示。互相关定位方法[4]认为声发射波源传播到两个传感器间的时间差就是互相关系数最大值Rxy(mpeak)对应的时间延迟τ,即

(1)

式中:N为试验过程中设置的采样点,与采样数据x相关;fs为采样频率;ϕ为互相关系数最大值Rxy(mpeak)对应的采样点,如图3所示。

图 2通道2原始信号与小波包重构信号


图 3通道1和2的小波包重构信号互相关系数图像


据此对处理后的信号进行互相关分析,得出时间差,结果如表1所示。三维时差源定位公式为[5]

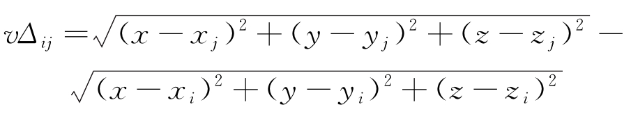
(2)

式中:v=3 128 m·s-1;(xi,yi,zi)和(xj,yj,zj)为第i个传感器和第j个传感器的坐标,Δij为声发射信号从G(x,y,z)点到达第i个传感器和第j个传感器的时间差,若传感器数量超过5个,则可用最小二乘法对超定方程组进行求解。

Table 1.试验测得的三维定位结果
项目(10,0,10)(90,0,90)(90,100,90)(90,10,100)(10,90,100)
Δt2(×10-3s)-12.417.211.211.2-16.4-9.617.2
Δt3(×10-3s)-10.89.610.010.819.2-4.417.6
Δt4(×10-3s)-7.2-19.2-20.0-18.4-10.814.415.6
Δt5(×10-3s)5.2-16.46.87.6-2.42.013.2
x/mm48.5450.4955.6253.4247.5654.3152.71
y/mm52.3844.2350.9646.7951.8952.1745.91
z/mm17.165.2314.6843.2528.1434.3566.89


2.3 定位结果分析

声发射源坐标定位的三维图像如图4所示,从笛卡尔坐标系可直观地看出声发射源点大部分集中于公式为(x-50)2+(y-50)2=2.52的柱面附近,即围绕受力钢筋表面周围分布。经分析可知,钢筋肋部局部应力较大导致了声发射明显;局部黏结破坏主要是钢筋肋部混凝土压碎所造成[6]。

图 4声发射源定位的三维图像


3. 声发射信号特征与破坏过程分析

根据试件从荷载为零直至破坏的各级荷载值及对应的锚筋两端相对滑移量的平均值,可得到各试件的荷载滑移曲线如图5所示。经试验观察及曲线特征分析,试件损伤过程可划分为以下几个阶段,相应的声发射特征信号频谱分析如图6所示。

图 5各试件的荷载滑移曲线


图 6试件各受力阶段的声发射信号频谱分析


(1) 初滑移段:加载后受力端开始出现滑移,但不明显,待自由端出现滑移时才十分明显,此时锚长范围内的胶结力全部丧失。表现为图6(a)中的振幅很小, 主频集中在150~350 kHz。

(2) 线性滑移段:随荷载增加平均滑移线性增大,主要受力部位为螺旋肋与肋间混凝土。表现为图6(b)上的振幅仍然很小, 但频率相对集中,主要在350 kHz附近。

(3) 非线性滑移段:滑移发展到一定程度后曲线转折呈非线性态,滑移明显转快。表现为图6(c)上的振幅很大,约是前两阶段的5~6倍,频带也相对较宽,频率主要集中在150~450 kHz。

(4) 下降段:咬合齿破碎到一定程度后,承载力下降,滑移发展更快。表现为图6(d)上的振幅变小,与线性滑移段的接近。

(5) 残余段:当滑移较大,达到15 mm左右时,混凝土内部产生拥塞效应,荷载不再下降而滑移却不断发展。表现为图6(e)的振幅很小,但偶尔也会出现振幅较大的信号。

4. 黏结破坏的声发射评价方法

KUKSENKO等[7]根据裂纹在第一阶段累积而在第二阶段加速扩展的规律,提出了基于动力学能量原理的非均质材料二阶段破坏模型,并通过大量工程中的声发射技术应用,验证了该模型的广泛适用性,从而建立了适于宏观破坏的合理评价方法。声发射能量-时间曲线如图7所示。

图 7声发射能量-时间曲线


对比荷载滑移曲线与声发射能量-时间曲线发现,加载力的变化同声发射能量的变化趋势基本一致。可以看出,加载开始不久声发射信号便出现,其明显特征是声发射能量随时间微弱地增加,这与破坏模型第一阶段裂纹累积的观点相吻合,而随后在极限破坏前的某一段时间内,声发射能量突然增大,这与破坏模型第二阶段裂纹扩展的观点相符合。在第二阶段中,混凝土表面的应力是随钢筋埋置位置稳步变化的,当黏结应力达到极限状态时黏结破坏就会发生,试验表明当滑移量达到10 mm时,试件已基本接近极限黏结强度。同时试验观察发现,在加载力很小的情况下声发射信号就出现了,表明黏结界面在一开始加载时就出现了微裂纹,然而一开始的局部微裂纹对整个试件的黏结性能不构成大的影响,但随着裂纹的逐渐累积,这些微裂纹会引起试件黏结应力的逐步退化从而扩大裂纹影响区域,而较大裂纹可导致局部应力集中,使得裂纹进一步核化与扩展。

试验结果表明,可利用该模型的主要特征对黏结界面宏观破坏过程进行分析,以及对其破坏过程进行预报。通过加载过程可以观察到黏结破坏之前声发射信号无明显异常,即表明试件宏观上没有破坏。因此,可以将破坏前某一时刻声发射能量的急骤增大作为判断其破坏临界状态的一个重要依据。

5. 无损检测挂证网结论

(1) 利用小波包分析技术对源信号进行分解与重构,再利用互相关技术计算各个通道的信号相对时差,最后根据时差定位公式计算源位置的方法能较好地对源信号进行处理与分析,定位结果精度较高。

(2) 分析荷载滑移曲线,可将黏结滑移过程划分为若干个受力段,每一阶段都具有不同的声发射信号特征,声发射信号频谱图基本与各个受力阶段的特征相吻合,这表明可以利用声发射信号对受力过程进行分析。

(3) 二阶段破坏模型可很好地对黏结破坏过程的声发射特征进行评价,可作为构件宏观破坏过程的声发射评价方法

推荐阅读:

2025年无损检测证书挂靠价格趋势预测

无损检测证书挂靠费用

无损检测这个行业有没有发展前景

微信扫一扫分享资讯

Copyright C 2009-2014 All Rights Reserved 河南旻宸企业管理咨询有限公司 版权所有 豫ICP备2024047879号-1

地址:河南省新乡市高新技术开发区20号街坊开祥天下城11号楼 EMAIL:154740484@qq.com

关注

用微信扫一扫

反馈
顶部