电话:158-3610-1808
关闭
您当前的位置:首页 > 职场资讯 > 无损检测论文

基于MFCC的碳纤维复合缠绕气瓶损伤声发射信号分析

来源:无损检测证书挂靠网 时间:2025-02-20 作者:无损检测证书挂靠网 浏览量:

作者简介:

魏莱(2000-),女,硕士研究生,主要研究方向为无损检测和信号处理技术

碳纤维复合缠绕气瓶(CFRP气瓶)是通过在金属或非金属内胆上缠绕高强度碳纤维制造而成的,具有质量轻、刚性好和强度高等优点,在道路交通、轨道交通和氢能燃料电池等行业得到了广泛的应用[1]。但气瓶的抗冲击性能较差,在使用过程中如果瓶身受到碰撞或冲击,极易出现损伤而影响结构承载能力下降,造成严重的安全隐患。

碳纤维复合材料的冲击损伤大致分为基体开裂、分层损伤和纤维断裂等[2]。每一种损伤在形成过程中产生的声发射信号都有显著特征。声发射技术是一种动态无损检测技术,与其他常规的无损检测方法相比具有灵敏度高和可进行动态检测的优点[3],因此该方法能够对复合材料损伤类型的变化过程做出及时有效的分析[4-6]。

针对复合材料不同类型损伤的声发射信号分析,宁小波等[7]通过小波分析得出不同损伤时期各种损伤模式单独存在的结论,邬冠华等[8]提出的参数分析法能清晰地分析出复合材料试样在压缩破坏过程中的不同损伤情况。ARUMUGAM等[9]采集了在不同速度冲击下碳纤维增强塑料在损伤过程中所产生的声发射信号,并对其进行了参数分析和傅里叶变换,将损伤类型分为基体开裂(80~120 kHz)、层间分层(120~170 kHz)、纤维/基体界面脱黏(170~200 kHz)、纤维断裂(200~300 kHz)等。

对于声发射信号特征提取技术,HEIDARY等[10-11]分别利用小波包和小波对声发射信号进行多层分解,对不同损伤特征向量采取不同频段能量序列进行表征,该方法的缺点是在选择小波基时相对困难,并且分解层数不易确定。GORMAN等[12]对不同故障源中板状试件产生的声发射信号特性进行了分析。李振雷等[13]提出利用梅尔倒谱系数(MFCC)区分砂岩破裂声发射信号,从而判断其断裂程度。徐栋等[14-15]提出纤维增强复合层合板的剩余承载能力可以用梅尔倒谱系数或其衍生特征定量表示。即,基于修正梅尔倒谱分析的模型对于复合材料结构健康状况的实时评估具有一定意义。

对CFRP气瓶展开不同冲击能量下的声发射检测试验,模拟损伤形成的过程并采集声发射信号,并对声发射信号进行梅尔频率倒谱系数特征提取,旨在找出信号特征与损伤类型之间的对应关系,以实现气瓶声发射信号的特征识别。

1. 声发射特征提取方法

梅尔频率倒谱系数利用人类对声音频率非线性变化的感知能力,将声音频谱转换为梅尔频率尺度,这样的非线性表示比正常的对数倒频谱中的线性间隔的频带更能适应人类的听觉系统,能使声音信号更好地表示出来。其通过逐条计算滤波频谱的能量,得到的参数能够反映各频带的频谱能量分布。

1.1 梅尔频率倒谱系数算法原理

梅尔频率倒谱系数是一种具有时频信息的二维特征,是一组通过非线性梅尔刻度的对数能量频谱线性变换所得的参数,可以充分反映信号的非稳态特性,在语音识别领域广泛使用。赫兹频率和梅尔刻度的关系为

(1)

式中:Mel(f)为梅尔刻度;f线性为频率。

MFCC的提取首先将N个采样点集合成一个观测单位,称为帧。通常情况下,N的值涵盖的时间约为20~40 ms。为了避免相邻两帧的变化过大,两相邻帧之间有一段重叠区域,该重叠区域包含了M个取样点。该算法先将每帧乘以窗函数,以增加帧左端和右端的连续性;然后对分帧加窗后的各帧信号进行快速傅里叶变换得到各帧的频谱,并对信号的频谱取模平方得到信号的功率谱;最后让功率谱通过一组梅尔尺度的三角形滤波器组,进而计算每个滤波器组输出的对数能量,再将上述的对数能量代入离散余弦变换,求出MFCC参数。

与语音信号相比,声发射信号是0~500 kHz宽频分布的信号,且采样频率高,信号数据量大,因此MFCC的提取也应进行相应改进以适合于声发射信号特征[13]。MFCC的提取具体步骤如下。

(1) 信号分帧:为保证帧内信号相对平稳且帧信号包含完整的声发射波形信息,一帧时长需略大于一个完整波形的持续时间。研究中选取的帧长为256,重叠部分长度为128。

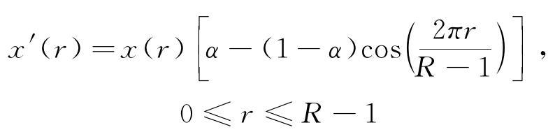
(2) 加汉明窗:为增加声发射信号分帧后每一帧与相邻帧之间的连续性,对帧信号进行窗函数处理,即让每一帧信号乘以汉明窗,计算公式为

(2)

式中:x′(r)为加窗后信号x′的第r个值;x(r)为声发射信号x的第r个值;α为汉明窗系数;R为每帧数据的长度。

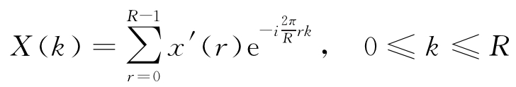
(3) 离散傅里叶变换:通过离散傅里叶变换将分帧加窗后的信号从时域转换到频域,并对每帧信号的频谱取模平方得到信号的功率谱。由于信号在时域上的变化往往很难反映出信号的特性,所以通常将其转换为频域上的能量分布来观察,不同的能量分布代表不同信号的特性。其计算公式为

(3)

式中:X(k)为离散傅里叶变换后信号X的第k个值;i为虚数单位。

(4) 滤波并计算对数能量:将信号功率谱通过梅尔滤波器组,计算每个滤波器组输出的对数能量,其计算公式为

(4)

式中:s(m)为对数能量s的第m个值;M为滤波器总数;Hm(k)为第m个滤波器的频率响应。

文中试验滤波器个数选择26。

(5) 离散余弦变换:进行离散余弦变换将频谱变换到时域上,则获得声发射梅尔倒谱系数,即M维向量。由于高位的系数代表信号的精细细节,对于信号识别来说贡献较小,因此一般选取第一组梅尔倒谱系数作为特征参数。其计算公式为

(5)

式中:C(n)为梅尔倒谱系数的第n个系数;P为梅尔倒谱系数的数量;an为正交系数,用式(6)表示。

(6)

1.2 方法的可行性验证

设计简单试验探讨梅尔频率倒谱系数表征不同类型声发射信号的可行性。在试验过程中,分别采集3类信号,即铁板上断铅、砂纸摩擦铁板和砂纸磨擦铁板的同时断铅。

绘制由声发射系统采集到的断铅、摩擦和断铅摩擦融合3种信号的时域波形,并利用傅里叶变换将时域波形转化为频谱波形。断铅、摩擦和融合信号的时域和频域波形如图1,2所示。

图 1断铅、摩擦和融合信号的时域波形(铁板上试验)


图 2断铅、摩擦和融合信号的频域波形(铁板上试验)


图1可以看出,断铅信号在时域上分布集中且频率较高,时间分布较短,可以很好地与另外两种信号区别开来。由图2可以看出,断铅信号的频率主要分布在90~130 kHz与220~240 kHz,摩擦信号与融合信号的频谱较为相近且有别于断铅信号,频率分布相对均匀,但融合信号的频段分布在220~250 kHz,明显低于相同频段的摩擦信号,这主要是因为融合信号中存在断铅信号。

对这3种信号进行MFCC提取,每种信号选取3个样本处理。断铅、摩擦和融合信号的MFCC参数图如图3所示,可以发现断铅和摩擦信号参数值的变化趋势近似,且两种信号有明显差异而容易区分,但融合信号无明显变化趋势。以上可行性分析表明,该方法可以达到识别不同单一信号类型的目的,但对融合信号的分析效果不理想。

图 3断铅、摩擦和融合信号的MFCC参数图(铁板上试验)


2. 试验方法

试验选用的CFRP气瓶长度为60 cm,瓶身直径为20 cm,瓶口直径为4 cm,气瓶质量为6.71 kg,气瓶缠绕层由纤维和树脂组合而成,其中纤维材料成分为T700碳纤维,树脂材料成分为环氧树脂,试件数量为5个。CFRP气瓶试件实物如图4所示。

图 4CFRP气瓶试件实物


试验采用CLC-A落锤式冲击试验机,其有效冲击高度为1.5 m。在气瓶上布置1个R3传感器,1个WSA传感器和4个WD传感器,传感器布置位置示意如图5所示。采集系统使用PCIE高速声发射采集卡,声发射采集仪器参数设定如下:门槛电压值为40 dB;前置放大增益为40 dB;采样频率为2 MHz;以真空润滑脂作为耦合剂。气瓶试件在声发射检测前,先用断铅芯法对数据采集系统进行标定。

图 5传感器布置位置示意


试验冲击能量设置为10,20,30,45,60 J,在进行试验前,先将试件固定在冲击夹具上,然后将传感器通过耦合剂贴于试件表面,并将冲头位置对准试件的冲击点位置。检查周围环境,确保没有影响声发射检测的噪声,然后启动冲击试验机,在冲击试验机控制系统界面中输入冲击能量值,冲击试验机将自动调节落锤高度,并在到达指定能量高度后释放落锤,完成相应的落锤冲击试验。

3. 气瓶损伤声发射信号的MFCC提取

通过分析大量CFRP气瓶冲击损伤声发射信号,发现主要有单峰值突发型和多峰值突发型,并且不同损伤类型的声发射信号发生次序和频率等都是无规律且随机的,因此以分析单峰值信号为试验重点。对比R3传感器和WSA传感器收集到的声发射信号,发现R3采集频带窄,得到的信号主要频率分布规律不明显,因此后续试验利用WSA所得数据进行分析。

对冲击能量为30 J的声发射信号进行分析,在冲击破坏后续阶段,按照时间相邻的先后顺序,先找到信号A,然后找到信号B。信号A,B的时域波形和频域波形如图6,7所示。

图 630 J冲击能量下试件声发射信号A,B的时域波形


图 730 J能量冲击下试件声发射信号A,B的频域波形


图6,7可以看出,信号A主要频率集中在10~50 kHz,峰值频率为40 kHz;信号B主要频率集中在90~110 kHz,峰值频率为95 kHz。根据碳纤维复合材料损伤信号基本特征可知,基体开裂信号频率较低,分层损伤信号频率较高,因此可以判断出信号A为基体开裂信号,信号B为分层损伤信号。分别对这两种不同类型损伤信号进行MFCC提取,其结果如图8所示,可见相同冲击下的同类型信号参数值及变化趋势基本相同。

图 830 J能量冲击下试件基体开裂和分层信号的MFCC参数提取结果


用梅尔倒谱系数对冲击后续阶段不同类型的声发射信号数量进行统计时发现,在冲击能量为10 J时,基体开裂类型信号占据信号总数的100%;在冲击能量为20 J时,基体开裂信号占据信号总数的80%左右,分层信号占据总数的18%左右,2%为摩擦信号;在冲击能量为30 J时,基体开裂信号占据信号总数的55%左右,分层信号占比为43%,2%为摩擦信号;在冲击能量为45 J时,基体开裂信号占据信号总数的46%左右,分层信号占比为50%,4%为摩擦信号;在冲击能量为60 J时,基体开裂占据信号总数的20%左右,分层信号占比为75%左右,5%为摩擦信号。

对不同能量冲击下相同类型的损伤声发射信号进行MFCC提取,其结果如图9所示,对比发现,相同类型信号的MFCC参数整体趋势大致相同且随冲击能量增加而增加。

图 9不同能量冲击下试件基体开裂和分层信号的MFCC参数提取结果


以上分析结果表明,利用MFCC参数能够直观地表现出CFRP气瓶不同类型损伤信号的区别,并且能够大致判断出气瓶损伤的程度。

4. 无损检测证书挂靠网结语

针对碳纤维复合缠绕气瓶的损伤在线监测问题,对CFRP气瓶冲击损伤过程进行声发射检测。对用梅尔倒谱系数表征不同类型信号进行可行性验证,发现该方法只能对单一类型信号进行区分,融合信号中各个类型信号的存在程度不同而难以区分。通过CFRP气瓶落锤冲击试验系统的搭建,利用声发射采集系统对CFRP层合板落锤冲击过程中产生的不同损伤类型的声发射信号进行采集,在对所得信号进行时频分析基础上,提取信号梅尔频率倒谱系数。通过分析各梅尔频率倒谱系数参数值情况,发现相同冲击下同类型损伤信号MFCC参数变化趋势基本相同,不同冲击能量下相同损伤信号MFCC参数变化趋势也大致相同且随冲击能量的增大而增大。

试验结果表明,利用MFCC参数能够直观地表现出CFRP气瓶损伤不同类型损伤信号区别,并且能够大致判断出气瓶损伤的程度,该结论可为CFRP材料的声发射检测信号识别提供一些参考。

推荐阅读:

【无损检测证书挂靠】_特种设备证书挂靠_超声、射线、磁粉、渗透二级,三级证书挂靠咨询

2025年无损检测证书挂靠价格趋势预测

微信扫一扫分享资讯

Copyright C 2009-2014 All Rights Reserved 河南旻宸企业管理咨询有限公司 版权所有 豫ICP备2024047879号-1

地址:河南省新乡市高新技术开发区20号街坊开祥天下城11号楼 EMAIL:154740484@qq.com

关注

用微信扫一扫

反馈
顶部